martes, 31 de octubre de 2023
lunes, 30 de octubre de 2023
Los ríos de Europa
Al igual que el relieve, los ríos europeos son muy diversos. Vamos a distinguir las siguientes vertientes hidrográficas:
Vertiente sur o mediterránea (cortos y poco caudalosos)
Vertiente este (son los más largos y caudalosos)
Vertiente norte y oeste (son de longitud media y caudal abundante)
Mención especial merecen los lagos, que en su mayoría son de origen glacial y se ubican cerca del Mar Báltico.
Seguiremos con la segunda parte del trabajo sobre “Descubrimos Europa” tratando los siguientes temas:
3. Resumen de las características de los ríos
4. Mapa señalando los principales ríos
viernes, 27 de octubre de 2023
Comprensión lectora 03
Sumérgete en el mundo de los cuentos y las poesías leyendo el texto que nos presentan las páginas 54 y 55 de nuestro libro y, a continuación, responde a las preguntas (páginas 56 y 57).
Después hablaremos de la diferencia entre narrar y relatar un suceso. Para finalizar vosotr@s haréis el vuestro. ¡¡Atiende y sigue los pasos!!Multiplicar y dividir fracciones
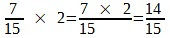
- El producto de dos fracciones es una fracción que tiene como numerador el producto de los numeradores y como denominador el producto de los denominadores.
Para multiplicar una fracción por un número, multiplicamos el numerador por ese número y dejamos el mismo denominador.
Para dividir dos fracciones, multiplicamos sus términos en cruz. El resultado es otra fracción cuyo numerador es el producto del primer numerador por el segundo denominador, y cuyo denominador es el producto del primer denominador por el segundo numerador.
Ejemplo:
jueves, 26 de octubre de 2023
El reino de las plantas
Las plantas son organismos pluricelulares de nutrición autótrofa, o lo que es lo mismo: capaces de fabricar su propio alimento a través de la fotosíntesis.
Casi todas las plantas están formadas de raíz, tallo y hojas.
Clasificación de las plantas
Estudiemos la fotosíntesis
Ahora puedes hacer un esquema y realizar las actividades. ¡¡A por ello!!
Viaje de Estudios
En mayo, cuando ya el curso está pensando en terminar..., es cuando nos proponemos ir de viaje a disfrutar de unos días cargados de buenas compañías y grandes recuerdos. Para ir haciendo boca os voy a dejar un poco de información. ¡¡Nos animamos!!
miércoles, 25 de octubre de 2023
La descripción
Vamos a trabajar la descripción en sus múltiples formas. Mira los esquemas y deja volar un poco la imaginación para crear algo creativo y a su vez divertido. ¡¡Ánimo!!
martes, 24 de octubre de 2023
Los recursos literarios I
Los recursos literarios se emplean para dar belleza y expresividad a un texto.
Vamos a trabajar, en esta unidad, tres de ellos: la personificación, la comparación y la metáfora.
Antes de hacer las actividades de las páginas 44 y 45 de nuestro libro, atiende las explicaciones y fíjate bien en el vídeo y en los esquemas. ¡¡Vamos a ello!!
El relieve europeo
Europa muestra un relieve muy variado que puede resumirse en:
Grandes llanuras
Cordilleras
Penínsulas, cabos y golfos
Mares, islas y archipiélagos
Los fiordos
Como podrás ver, tiene una costa muy accidentada y larga.
Comenzaremos nuestra primera parte del trabajo sobre “Descubrimos Europa” tratando los siguientes temas:
1. Resumen del relieve europeo
2. Mapa con las principales cadenas montañosas y las depresiones y llanuras
Sumar y restar fracciones con distinto denominador
¿Cómo sumar y restar fracciones con diferente denominador?
Lo primero que hay que hacer es buscar un denominador común a todas ellas. Luego sustituir las fracciones originales por fracciones equivalentes con este denominador común.
Pero, ¿cómo se calcula este denominador común?
Una manera sencilla de calcularlo es multiplicar todos los denominadores. El resultado de esta operación es el denominador común.
Hay una forma más correcta de calcularlo a través del mínimo común múltiplo.
viernes, 20 de octubre de 2023
La tilde en los diptongos, triptongos e hiatos.
Primero diferenciaremos las vocales débiles y fuertes en el vídeo y practicaremos con el enlace.
Ahora vamos a ver la acentuación en diptongos:
Ahora vemos la tilde en los hiatos:
Trabajaremos la acentuación en triptongos:
Espero que ya esté más claro y podamos realizar cualquier actividad. ¡¡Ánimo!!EL SISTEMA SOLAR Y LAS MATEMÁTICAS
En el Proyecto 2 estamos trabajando contenidos relacionados con el Sistema Solar. En la siguiente tabla encontrarás unos datos que tienen...
-
La papiroflexia , también conocida como origami, es el arte de doblar papel para crear figuras . Es una técnica que consiste en transform...
-
En la unidad 12 de Lengua nos encontramos con una lectura que tienen mucho que ver con “las vacaciones”. Sumérgete en el mundo de las ave...
-
Ya tenéis disponible la secuencia de aprendizaje para poder repasar el primer tema que hemos visto sobre historia: “la prehistoria” . En...
















































